2016年,动物行为学家纳塔莉亚·博雷戈(Natalia Borrego)在美国几家动物园做了一个实验[1]:
给大型食肉动物各一个装有食物的谜箱,看谁能打开。
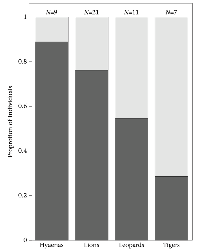
参加测试的有狮子、老虎、豹子和斑鬣狗(下图)。

结果有点出乎意料。
图中用深灰色条形代表成功打开谜箱的个体比例,浅灰色代表失败的个体比例:

狮子21只参试,16只成功,成功率76%。斑鬣狗89%,成功率最高。豹子55%。老虎7只参试,只有2只打开了箱子,成功率29%。
关于上述部分,回应一下评论区,这里稍微补充一些:
谜箱实验确实更偏好"愿意反复尝试"的物种。Borrego自己在论文里也讨论了这一点,她注意到社会性物种表现出更多的探索行为和更强的持久性(exploratory behavior and persistence),而老虎的尝试次数明显更少。
这张散点图通过记录动物在首次测试中积极尝试打开谜箱的时间占比,来衡量不同物种个体的“坚持性” 。

图中的空心圆圈代表每个独立的受试个体,黑菱形代表该物种的平均得分,表明群居动物在面对未知难题时投入的时间和耐心显著高于独居动物 。
这张散点图记录了各物种个体在首次测试中使用的不同探索动作数量(如抓、咬、推等,满分6种),以衡量其探索行为的多样性 。

图表数据(空心圆代表个体,黑菱形代表平均值)表明,虽然狮子展示了最全面的探索动作,但这四种食肉动物在探索行为的整体多样性上并不存在显著的统计学差异 。
用"暴力试错的耐心"来概括这个差异,方向没错。生态背景不同确实会影响动物面对新问题时的策略偏好。
但关于"老虎极其惧怕试错中受伤,尝试几次就交白卷",然后推出这不代表智力低。这一步是合理的。但关于"真正的智力是顿悟,而顿悟体现在一次精准捕猎中"。这一步的问题在于,目前没有研究能把一次成功捕猎归因为"顿悟"而非"本能+经验"。
"顿悟"(insight)在比较认知学里是有严格定义的,最早来自克勒(Köhler )1925年对黑猩猩的研究[2]:动物在没有试错的情况下,突然产生一个全新的行为组合来解决从未遇到的问题。关键词是"全新"和"从未遇到"。
老虎的伏击捕猎精准而高效,但这更多属于species-typical behavior(物种典型行为),经过幼年期大量练习和母亲示范而成熟,很难用单次观察判定它是"推理产物"还是"训练产物"。
另外一个值得说的事实是:2016年本森-阿姆拉姆(Benson-Amram)等人那项更大规模的研究(39种食肉动物、140个个体)发现,真正能预测谜箱解题成功率的是相对脑大小,既不是社会性,也不是前肢灵巧度。

这至少说明,虽然谜箱测的不是智力全貌,但它捕捉到了某种与脑组织结构有关联的东西。
老虎的脑袋在陆生食肉动物里算大号的,脑重约280克,是家猫的9倍多。但它在一个不需要社交能力、只需要独立解题的任务里,表现远不如狮子和鬣狗,甚至不如体型更小的豹子。

所以,脑袋大就聪明吗?
先看数据。老虎脑重约280克,体重约200公斤,脑占体重的0.14%。家猫脑重约25到30克,体重约4公斤,脑占体重0.86%左右。猫的脑体比是老虎的6倍多。单看"脑袋占身体的比例",猫远远胜出。
下表为吉特尔曼(Gittleman 1986) 表1 中猫科部分的绝对脑重数值[3]:

第一列中是家猫代表 斑猫(Felis silvestris,野猫/家猫同源种),长这样:

但脑体比本身也不是衡量智力的好指标。用这个标准,一些体型极小的鸟类和鼩鼱会排到灵长类前面。
1973年,古生物学家哈里·杰里森(Harry Jerison)提出了一个更精细的指标:脑化指数(Encephalization Quotient,简称EQ)[4]。下为

注:在吉特尔曼探讨食肉动物相对脑容量时,也正是把杰里森1973年出版的这本著作,作为了核心的理论参考文献。
计算方法是:用一个物种实际的脑重,除以同等体型哺乳动物"应该有"的脑重。
这个"应该有"的值,是根据所有哺乳动物脑重与体重之间的统计关系推算出来的。
EQ等于1,说明这个物种的脑大小符合同体型的平均预期;大于1,偏大;小于1,偏小。
按这个公式,家猫的EQ大约在1.0到1.7之间(不同估算方法略有差异),而老虎的EQ只有约0.65。也就是说,老虎的脑不但没有"超标",反而比它这个体型应该有的还要小三分之一左右。
作为参考,人类的EQ大约7.4到7.8,宽吻海豚5.3,黑猩猩2.5。猫在这个排名里并不突出,但至少比老虎体面。

不过,EQ也有自身的局限。真正改变这个领域的,是另一种计数方式。
2017年,神经科学家苏扎娜·赫库拉诺-豪泽尔(Suzana Herculano-Houzel)带领团队发表了一项研究[5],直接数了8种食肉动物大脑皮层里的神经元数量。她使用了自己在2005年发明的“各向同性分馏法”。

这里提到比较多关于她的研究,所以单独介绍一下:苏扎娜·赫库拉诺-豪泽尔是一位出生于巴西的著名神经科学家,现任美国范德堡大学(Vanderbilt University)心理科学与生物科学副教授。她的核心研究领域是比较神经解剖学、大脑演化、大脑细胞构成以及大脑代谢成本。
下图为食肉目物种的脑半球示例:

这个方法的原理说起来有点粗暴:把脑组织泡在去污剂里溶解成匀浆,释放出所有细胞核,然后用荧光标记区分神经元和非神经元细胞,逐一计数。
结果颠覆了很多人的直觉。

家猫的大脑皮层重约24克,含有约2.5亿个神经元。棕熊的大脑皮层重约222克,是猫的将近10倍。棕熊皮层里的神经元数量是多少呢?
大约2.5亿。和猫的一个水平。
下图为大脑皮层神经元数量与体重的关系:

这张散点图直观地揭示了,随着食肉动物体重的增加,其大脑皮层的神经元数量并没有随之无限增长,体型庞大的棕熊(图中的黑点)的皮层神经元数量甚至出现了断崖式下跌,仅与体型极小的家猫(蓝点)处于同一水平 。
一个核桃大的猫脑和一个接近人拳头大的熊脑,装的神经元一样多。
多出来的体积去哪了?
主要是更大的神经元细胞体和更多的胶质细胞(负责给神经元提供支撑和营养的细胞,本身不参与信息处理)。
同一项研究里,非洲狮的皮层重约140克,是猫的5.8倍,但皮层神经元约5.45亿,只是猫的2.2倍。

目前没有研究直接用这种方法数过老虎的神经元,但根据老虎的脑重和狮子的数据推算,老虎的皮层神经元大概在5到6亿之间,约为猫的2到2.4倍。远没有9倍那么夸张。
那为什么大型食肉动物的脑变大了,神经元却没有按比例跟上?
赫库拉诺在《PNAS》的之前的论文中给出了答案[6]。
她发现灵长类和非灵长类哺乳动物在这件事上遵循完全不同的缩放规则。灵长类的大脑在变大时,神经元数量近乎线性增长:脑大一倍,神经元大致多一倍。
但在非灵长类哺乳动物(包括所有食肉目)中,皮层质量的增长速度快于神经元数量的增长。脑变大的过程中,不是塞进了更多的计算单元,而是每个计算单元本身变大了。
这张呈倒U型曲线的图表直观地揭示了“代谢取舍(Trade-off)”:

在只吃生食的前提下,灵长类动物每天有限的进食时间(如8小时或10小时)决定了它能摄取的总热量上限,导致它要么选择长出巨大的身体(如大猩猩),要么选择长出神经元密集的大脑,二者在代谢上绝无可能同时兼顾 。
这里还有一个代谢层面的硬约束。
她本人在2011年发表于《PLoS ONE》的研究发现[7],不管在哪个物种里,单个神经元的平均能耗几乎是恒定的。大脑的总能耗直接正比于神经元总数。
这张图表(特别是图1b)直观地揭示了,无论是整个大脑、大脑皮层还是小脑,其总葡萄糖消耗量都与该结构中的神经元总数呈现出完美的线性关系 。

大型食肉动物的困境是:维持一个200公斤的身体本身就需要大量能量,捕猎大型猎物的能量回报又极不稳定。进化不得不在身体大小和神经元数量之间做取舍。
赫库拉诺的原话大意是:当食肉动物体型达到一定程度后,维持身体的能量需求变得太高,不得不"牺牲"皮层神经元来换取体型。
We suggest that the reduction in the number of neurons in the cerebral cortex of the largest species we examined... is related to the large metabolic costs of maintaining a large body mass, and where applicable, needing to spend energy hunting to maintain that mass.
从更长的进化时间尺度来看,猫科动物的大脑策略也非常一致。
2009年菲纳雷利(Finarelli)等人的研究发现[8],猫科动物在进化中极其保守。它们选了另一条路,把资源投入力量、速度和感官,而不是认知。
所以说,猫这颗核桃大的脑仁里,装着跟一头几百斤大棕熊一样多的皮层神经元。但这只能说明在自然界里,脑袋大小从来不是重点,重点是里面装了多少个能干活的零件。
而且就算装了,也不一定愿意干活。

天天有人喂猫粮,干啥活?