鸟类真的会「记住」对它们不好的人吗?

鸟类真的会「记住」对它们不好的人吗?

苏澄宇,自然科学/分享动物们的小秘密/Animalonearth

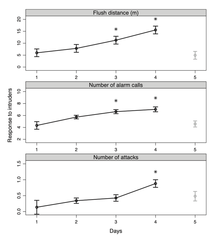
关于乌鸦记仇这件事,肯定得提到“穴居人”[1]

2006 年,华盛顿大学野生动物生物学家约翰·马尔祖夫(John Marzluff),他戴上一副橡胶材质的"穴居人"面具(下图),在西雅图大学校园里用网捕捉了 7 只北美乌鸦(Corvus brachyrhynchos),做了环志标记后放飞。

同时,他还准备了另一副"中性"面具,用的是时任美国副总统迪克·切尼的脸。戴切尼面具的人只是正常走路,从不打扰乌鸦。

之后数月,研究人员和志愿者轮流戴着两副面具在校园里散步。

结果很清楚:乌鸦对"穴居人"面具群起而攻之,发出愤怒的警报叫声、俯冲骚扰;对切尼面具基本无动于衷。

马尔祖夫在一次戴"穴居人"面具行走时,他遇到的 53 只乌鸦中有 47 只对他发出了愤怒的叫声。而最初被捕的只有 7 只。也就是说,大量从未被捕获过的乌鸦也加入了"复仇"[2](这点后面会解释)。

下面这组趋势图清晰地对比了在长达近 1000 天(约 2.7 年)的时间跨度里,乌鸦对"穴居人"面具和“中性面具”的不同反应:

可见野生乌鸦在经历单次诱捕后,对"穴居人"面具的仇视和抗议不仅瞬间飙升,而且在长达近三年的时间里持续不衰 ,而对从未惹过它们的“中性面具”则几乎无动于衷 。

这项研究一做就是 17 年。攻击性反应在 2013 年左右达到峰值,此后缓慢下降。

到 2023 年 9 月,马尔祖夫再次戴上那副面具在校园行走时,第一次没有任何一只乌鸦发出警告。

这时距离实验开始已经过去了 17 年,最初被捕获的那批乌鸦早已全部死亡,目击捕获事件的乌鸦也基本不在了。一个群体的集体记忆,跨越了至少两代鸟的寿命才自然消退。

顺便一提,研究中还做了一个有趣的测试:把"穴居人"面具倒过来戴。人类和绵羊识别倒置面孔的能力会大幅下降,但乌鸦不会。它们甚至会歪着头,把自己的脑袋倒过来看,以便看清那张倒挂的脸。

接下来,会简单介绍 17 年间他的团队发表的其中 2 篇文章。

但这里有一件更奇怪的事:那些从未被捕获过的乌鸦,为什么也知道要攻击"穴居人"面具?

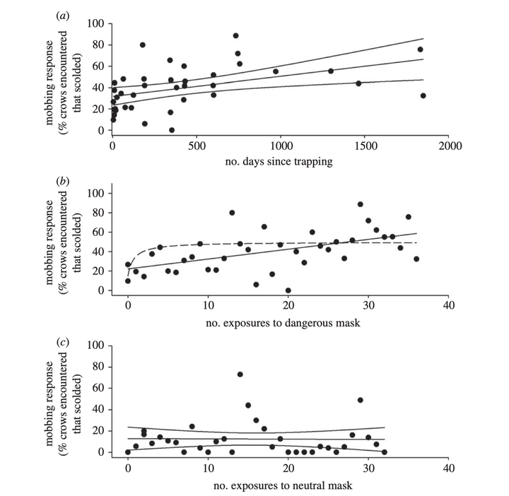
还是前面那个科学家,他在 2011 年发表了一篇论文[3],详细拆解了信息传播的路径。

在捕捉发生后最初两周,约 26%遇到"危险面具"的乌鸦会发出警告;1.25 年后升至 30.4%;约三年后翻倍至约 66%。传播机制分两种:纵向社会学习,即年轻乌鸦从父母那里学会识别威胁面孔;以及横向社会学习,即同伴间传递信息,有效范围至少 1.2 公里。

下图表的时间跨度超越了上面一个图表的时间,在长达 5 年的时间里,乌鸦群体对“危险面具”的抗议频率呈现出持续的线性增长,而对“中性面具”则依旧没有出现类似的反应趋势。

简单说,乌鸦群体里存在一套"危险人物通缉系统"。你只需要惹到其中几只,信息就会像传单一样在社区里传开。

2012 年,马尔祖夫团队更进一步,用正电子发射断层扫描(PET,一种通过检测脑内代谢活动来成像的技术)扫描了活体乌鸦的大脑[4]

方法本身就值得说一下:以往的动物脑成像研究通常需要先将动物麻醉,但这个团队向清醒状态的乌鸦注射了一种常用的葡萄糖示踪液,液体会涌向大脑中最活跃的区域。然后让乌鸦在笼中自由活动约 15 分钟,期间面对"威胁面孔"或"友好面孔"。

下图是实验流程:

结果显示,看到威胁面孔时,乌鸦大脑中负责恐惧学习和情绪反应的杏仁核(控制恐惧和威胁评估的脑区)、丘脑和脑干被显著激活;而看到友好面孔时,与动机和奖赏相关的纹状体区域被激活。

下图清晰显示,清醒的乌鸦在观察外界时,其视网膜、丘脑和内外套建等视觉处理区域会高度活跃(呈现深色斑块),而麻醉后这些特定区域的神经活动则大幅减弱:

这种激活模式与人类在类似情境下的脑反应高度相似。

既然说到了乌鸦,那肯定不能忘了黑背钟鹊Gymnorhina tibicen)。澳洲人叫它喜鹊(Magpie),其实和普通喜鹊Pica pica)没关系。

黑背钟鹊的俯冲攻击在当地几乎是一个国民级话题。

布里斯班格里菲斯大学行为生态学家达里尔·琼斯(Darryl Jones)的研究发现,黑背钟鹊不仅能识别人脸,给人换上完全不同的衣服也骗不了它们。

不过值得注意的是,实际上只有大约 10%的黑背钟鹊会俯冲攻击人。攻击行为的本质是护巢反应,发生在繁殖季节(大约 8 月到 10 月),雄鸟在保护巢中的蛋和雏鸟。它们并非对所有人都有敌意,而是会记住并针对曾经让它们感到威胁的特定个体。

顺带一提,下面这个视频真的挺惨的(真的不好笑),小孩骑车被黑背钟鹊一路狂戳,自己去找来看吧……

你以为只有讨厌的鸦科吗?

还有“可爱”的北方嘲鸫(Mimus polyglottos):

2009 年,佛罗里达大学生物学家道格拉斯·莱维(Douglas Levey)在PNAS上发表了一项实验。对象是北美嘲鸫,一种美国东海岸城市里极为常见的鸟[5]

他让同一位研究人员连续四天接近并触碰校园里 24 对嘲鸫的鸟巢,每次仅 15 秒。研究人员每天都换不同的衣服,但嘲鸫对他的攻击性逐日递增。第五天,换了另一个人以完全相同的方式接近鸟巢,嘲鸫立刻回到了第一天的温和状态(见下表)。

很明显,嘲鸫认的是脸,不是衣服。莱维说,仅仅两次、每次 30 秒的接触,就足以让嘲鸫从校园里成千上万的路人中把这个人挑出来。

鸽子也是认脸的。

2011 年,巴黎楠泰尔大学达莉拉·博维特(Dalila Bovet)团队在巴黎市中心的公园里[6],找了两位体型、肤色、年龄相近的女性研究员,分别穿不同颜色的实验服喂鸽子。

一位安静投喂,另一位主动驱赶。几轮之后,两人互换实验服。

鸽子没上当。它们继续避开那个曾经驱赶过它们的人,不管她现在穿什么。

下图可见,在测试阶段,聚集在“中立(Neutral)”投喂者身边的鸽子平均数量显著高于曾驱赶过它们的“敌意(Hostile)”投喂者。

博维特的解释是:鸽子在没有任何训练的情况下,自发地使用了面部特征来识别个体,而不是依赖覆盖了 90%身体面积的衣服颜色。

从西雅图的乌鸦,到澳大利亚的黑背钟鹊,再到佛罗里达的嘲鸫,最后到巴黎的野鸽子,结论都一样:认脸这件事,鸟类比我们以为的要认真得多。

为什么鸟要费力记住你的脸?

城市鸟类每天接触大量人类,绝大多数无害,少数构成威胁。对所有人保持警惕,能量消耗太大;完全不警惕,又可能送命。记住"那几个坏人"、忽略其余所有人,是一种低成本的生存方案。识别个体,不是某种高级的情感能力,而是实用的进化策略。

这也解释了为什么这种能力在城市鸟类中尤为发达。毕竟它们生活在人类密度最高的地方,有最多的"训练数据",也有最强的识别需求。